| Herramientas en GNU/Linux para estudiantes universitarios: | ||
|---|---|---|
| Anterior | Capítulo 3. Tipos de Redes Neuronales | Siguiente |
Este es uno de los tipos de redes más comunes. Se basa en otra red mas simple llamada perceptrón simple solo que el número de capas ocultas puede ser mayor o igual que una. Es una red unidireccional (feedforward). La arquitectura típica de esta red es la siguiente:
Las neuronas de la capa oculta usan como regla de propagación la suma ponderada de las entradas con los pesos sinápticos wij y sobre esa suma ponderada se aplica una función de transferencia de tipo sigmoide, que es acotada en respuesta.
El aprendizaje que se suele usar en este tipo de redes recibe el nombre de retropropagacion del error (backpropagation). Como funcion de coste global, se usa el error cuadratico medio. Es decir, que dado un par (xk, dk) correspondiente a la entrada k de los datos de entrenamiento y salida deseada asociada se calcula la cantidad:
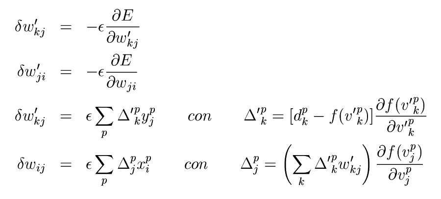
que vemos que es la suma de los errores parciales debido a cada patrón (índice p), resultantes de la diferencia entre la salida deseada dp y la salida que da la red f(.) ante el vector de entrada xk. Si estas salidas son muy diferentes de las salidas deseadas, el error cuadratico medio sera grande. f es la función de activación de las neuronas de la capa de salida e y la salida que proporcionan las neuronas de la ultima capa oculta.Sobre esta función de coste global se aplica algun procedimiento de minimización. En el caso del MLP se hace mediante un descenso por gradiente. Las expresiones que resultan aplicando la regla de la cadena son las siguientes:
Siendo yk las salidas de la capa oculta.El aprendizaje por backpropagation queda como sigue:
Inicializar los pesos y los umbrales iniciales de cada neurona. Hay varias posibilidades de inicialización siendo las mas comunes las que introducen valores aleatorios pequeños.
Para cada patrón del conjunto de los datos de entrenamiento
Obtener la respuesta de la red ante ese patrón. Esta parte se consigue propagando la entrada hacia adelante, ya que este tipo de red es feedforward. Las salidas de una capa sirven como entrada a las neuronas de la capa siguiente, procesandolas de acuerdo a la regla de propagación y la función de activación correspondientes.
Calcular los errores asociados según la ecuación 3-2
Calcular los incrementos parciales (sumandos de los sumatorios). Estos incrementos dependen de los errores calculados en 2.b
Calcular el incremento total ,para todos los patrones, de los pesos y los umbrales según las expresiones en la ecuación 3-2
Actualizar pesos y umbrales
Calcular el error actual y volver al paso 2 si no es satisfactorio.